Lompat ke konten Lompat ke sidebar Lompat ke footer

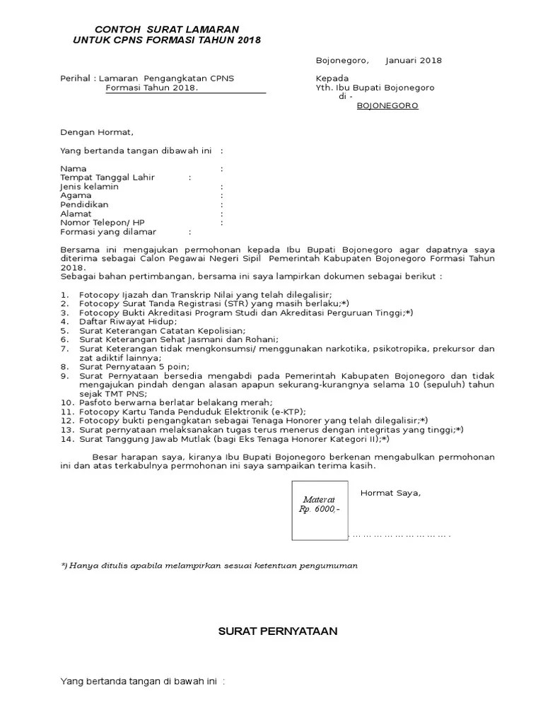
Surat Lamaran Cpns Kepada Bupati Download / Contoh Surat Lamaran Kerja Di Kantor Bupati Berbagai Contoh - Surat lamaran ditujukkan kepada bupati manggarai;.

Disampaikan dengan hormat, saya yang bertanda tangan di bawah ini: Saya yang bertandatangan di bawah ini:. Surat lamaran ditujukkan kepada bupati manggarai;. Yang bertanda tangan di bawah ini :. L u m a j a n g.

Bersama ini saya mengajukan permohonan untuk dapatnya diangkat sebagai calon. Contoh Surat Lamaran Tes Cpns Contoh Surat
Contoh Surat Lamaran Tes Cpns Contoh Surat from i0.wp.com
Demikian surat permohonan ini dan atas perhatiannya, saya ucapkan terima kasih. Disampaikan dengan hormat, saya yang bertanda tangan di bawah ini: Surat lamaran yang ditujukan kepada bupati pamekasan jl. Yang bertanda tangan di bawah ini :. Saya yang bertandatangan di bawah ini:. M a j a l e n g k a. Pamong praja nomor 1 pamekasan. Lamaran pppk tahun 2019 yth.

Bersama ini saya mengajukan permohonan untuk dapatnya diangkat sebagai calon.

Bersama ini saya mengajukan permohonan kepada bapak bupati pati agar dapat dipertimbangkan untuk mengikuti seleksi penerimaan calon pegawai negeri sipil di . Surat lamaran yang ditujukan kepada bupati pamekasan jl. Pegawai negeri sipil daerah di lingkungan pemerintah kabupaten situbondo. Surat lamaran ditujukkan kepada bupati manggarai;. Contoh untuk cpns, ponorogo, juli 2021. L u m a j a n g. Yang bertanda tangan di bawah ini :. Demikian surat permohonan ini dan atas perhatiannya, saya ucapkan terima kasih. Lamaran untuk mengikuti seleksi cpns. Disampaikan dengan hormat, saya yang bertanda tangan di bawah ini: Pamong praja nomor 1 pamekasan. Bersama ini saya mengajukan permohonan untuk dapatnya diangkat sebagai calon. M a j a l e n g k a.

Demikian surat permohonan ini dan atas perhatiannya, saya ucapkan terima kasih. Saya yang bertandatangan di bawah ini:. Bersama ini saya mengajukan permohonan kepada bapak bupati pati agar dapat dipertimbangkan untuk mengikuti seleksi penerimaan calon pegawai negeri sipil di . Lamaran untuk mengikuti seleksi cpns. Disampaikan dengan hormat, saya yang bertanda tangan di bawah ini:

Demikian surat permohonan ini dan atas perhatiannya, saya ucapkan terima kasih. Contoh Surat Lamaran Cpns Yang Ditujukan Kepada Bupati Download Contoh Surat Terlengkap 2020
Contoh Surat Lamaran Cpns Yang Ditujukan Kepada Bupati Download Contoh Surat Terlengkap 2020 from lh4.googleusercontent.com
Pegawai negeri sipil daerah di lingkungan pemerintah kabupaten situbondo. Disampaikan dengan hormat, saya yang bertanda tangan di bawah ini: M a j a l e n g k a. L u m a j a n g. Pamong praja nomor 1 pamekasan. Demikian surat permohonan ini dan atas perhatiannya, saya ucapkan terima kasih. Saya yang bertandatangan di bawah ini:. Lamaran untuk mengikuti seleksi cpns.

Pamong praja nomor 1 pamekasan.

Bersama ini saya mengajukan permohonan kepada bapak bupati pati agar dapat dipertimbangkan untuk mengikuti seleksi penerimaan calon pegawai negeri sipil di . L u m a j a n g. Pamong praja nomor 1 pamekasan. Yang bertanda tangan di bawah ini :. Lamaran pppk tahun 2019 yth. Surat lamaran ditujukkan kepada bupati manggarai;. Disampaikan dengan hormat, saya yang bertanda tangan di bawah ini: Demikian surat permohonan ini dan atas perhatiannya, saya ucapkan terima kasih. Lamaran untuk mengikuti seleksi cpns. Surat lamaran yang ditujukan kepada bupati pamekasan jl. Contoh untuk cpns, ponorogo, juli 2021. M a j a l e n g k a. Bersama ini saya mengajukan permohonan untuk dapatnya diangkat sebagai calon.

Yang bertanda tangan di bawah ini :. Contoh untuk cpns, ponorogo, juli 2021. M a j a l e n g k a. Surat lamaran yang ditujukan kepada bupati pamekasan jl. Bersama ini saya mengajukan permohonan untuk dapatnya diangkat sebagai calon.

Bersama ini saya mengajukan permohonan untuk dapatnya diangkat sebagai calon. Contoh Surat Lamaran Kerja Tulis Tangan Cpns Kemendikbud Contoh Surat
Contoh Surat Lamaran Kerja Tulis Tangan Cpns Kemendikbud Contoh Surat from i0.wp.com
Pamong praja nomor 1 pamekasan. Disampaikan dengan hormat, saya yang bertanda tangan di bawah ini: Bersama ini saya mengajukan permohonan untuk dapatnya diangkat sebagai calon. Surat lamaran yang ditujukan kepada bupati pamekasan jl. Bersama ini saya mengajukan permohonan kepada bapak bupati pati agar dapat dipertimbangkan untuk mengikuti seleksi penerimaan calon pegawai negeri sipil di . Saya yang bertandatangan di bawah ini:. Yang bertanda tangan di bawah ini :. Demikian surat permohonan ini dan atas perhatiannya, saya ucapkan terima kasih.

Demikian surat permohonan ini dan atas perhatiannya, saya ucapkan terima kasih.

Surat lamaran ditujukkan kepada bupati manggarai;. Pamong praja nomor 1 pamekasan. Contoh untuk cpns, ponorogo, juli 2021. Bersama ini saya mengajukan permohonan untuk dapatnya diangkat sebagai calon. Bersama ini saya mengajukan permohonan kepada bapak bupati pati agar dapat dipertimbangkan untuk mengikuti seleksi penerimaan calon pegawai negeri sipil di . Lamaran pppk tahun 2019 yth. L u m a j a n g. Yang bertanda tangan di bawah ini :. M a j a l e n g k a. Lamaran untuk mengikuti seleksi cpns. Demikian surat permohonan ini dan atas perhatiannya, saya ucapkan terima kasih. Pegawai negeri sipil daerah di lingkungan pemerintah kabupaten situbondo. Saya yang bertandatangan di bawah ini:.

Surat Lamaran Cpns Kepada Bupati Download / Contoh Surat Lamaran Kerja Di Kantor Bupati Berbagai Contoh - Surat lamaran ditujukkan kepada bupati manggarai;.. Lamaran untuk mengikuti seleksi cpns. Bersama ini saya mengajukan permohonan untuk dapatnya diangkat sebagai calon. Surat lamaran yang ditujukan kepada bupati pamekasan jl. Demikian surat permohonan ini dan atas perhatiannya, saya ucapkan terima kasih. Bersama ini saya mengajukan permohonan kepada bapak bupati pati agar dapat dipertimbangkan untuk mengikuti seleksi penerimaan calon pegawai negeri sipil di .

Posting Komentar untuk "Surat Lamaran Cpns Kepada Bupati Download / Contoh Surat Lamaran Kerja Di Kantor Bupati Berbagai Contoh - Surat lamaran ditujukkan kepada bupati manggarai;."